3773考试网
 3773考试网 - 中考网 - 各省中考 - 浙江中考 - 宁波中考 - 正文

2016年余姚中学招生工作的通知录取办法

来源:余姚市教育局 2016-4-12 8:22:11

根据《余姚市教育局关于做好2016年初中毕业生学业考试与高中段学校招生工作的通知》(余教〔201615号)精神,经研究,现将2016年余姚中学招生工作的有关事项通知如下:

一、招生计划

根据2016年余姚市高中段事业计划,余姚中学计划招生12班共480人。其中“直录生”40人、保送生200名、中考后招收定向生90名,按中考录取顺序招收150名。

二、招生范围

被余姚中学录取的新生必须是符合普通高中报考条件并具有我市户籍或在我市读满三年初中,且在我市参加中考的应届生,其中保送生和定向生还必须在我市初中就读、且初中三年中无转校、无在非电子学籍所在初中就读经历。

三、实施办法

(一)“直录生”:招生名额40名,由余姚中学适时自主确定人选。

(二)保送生:招生名额(即分配名额)为200名,根据宁波市教育局的统一安排,计划于2016521日进行招生。

1.保送生测试推荐名额确定。根据录取率不低于80%的规定,设定参加测试名额250人,其中85%左右按初中学校具有报考普通高中的初三学生数(以中考报名统计数据为准)大致均等地分配到各校;其余名额则根据初中学校办学水平、办学行为及前三年向余姚中学输送学生人数和学生后续发展情况进行统筹分配。

2.保送生测试推荐条件。被保送推荐的学生应该在德智体美诸方面全面发展,综合素质评价达到2A2P及以上。社会政治测试结果P等及以上。

初中学校在制订具体的实施办法时,主要根据初中学习阶段的学业成绩和综合素质评价等情况,确定被推荐学生的资格。

被推荐学生的文化课总成绩(参照中考科目及各科所占分值比例)建议按以下办法计算:初一两次期末考试成绩总和占百分之十、初二两次末考试成绩总和占百分之三十、初三第一学期期末考试和第六学期模拟考试成绩总和占百分之六十。若遇总成绩并列,则比较初三成绩,高者优先;若再并列,则比较初二成绩,高者优先;若仍然并列,则按初三、初二、初一的顺序,参照中考录取时对并列学生的取舍办法进行甄别。

3.保送生测试推荐程序。⑴凡符合推荐条件的学生,必须经本人申请、家长同意后,由班主任会同任课教师,在听取班委会意见的基础上提出候选人名单,经校长办公会议或校行政会议讨论,确定推荐保送的学生名单;⑵学校将被推荐的学生名单及基本情况在校内张榜公示五天,接受广大师生、家长和社会的监督;⑶教育局基础教育科对保送生进行资格审查,对不符合条件的学生,一律退回,所缺名额不作递补。

4.报名办法。各初中学校按推荐条件和参加测试的名额做好推荐学生的初审工作,并于513日向教育局基础教育科倪劲锋老师集体报名(提供参考学生名册)。

5.测试科目

保送生考试测试试卷由宁波市教育考试院命制,时间在521日(周六),上午9:3011:30测试文科综合(语文、英语),分值为150;下午13:0015:00测试理科综合(数学、科学),分值为150;下午15:3016:30测试历史与社会思品,分值为100分。历史与社会思品试卷难度系数为0.75左右,采取开卷或者半开卷形式 ( 只允许学生携带一张经自己整理书写的A4纸,此外不得携带其它资料),测试结果以APE等第呈现,A等比例在50%左右,E等比例不高于5%。历史与社会思品科目测试结果为E等的,不予保送。(保送生同分录取时,历史与社会思品成绩A等者优先)。

6.录取办法

1)按第200的认定成绩划定一条“基准线”,并确保上“基准线”考生所在的初中录取一人。

2)若初中学校无上“基准线”的考生,则在“基准线”下20分内先行照顾录取1人。

3)余下名额,在所有其他考生中按测试成绩从高到低进行录取,额满为止。

4)保送生同分录取时,按以下顺序优先录取:a.社会政治成绩A;b.理综成绩较高的。

(三)按中考录取顺序录取的学生。名额150名,待中考成绩公布后,在符合报考条件且报有余姚中学志愿的所有考生中,按考试成绩从高分到低分择优录取150名,额满为止,当录取中出现总分相同时,先比较数学和语文两科合计成绩,高者优先录取;若两科合计成绩相同,再比较数学、语文和英语三科合计成绩,高者优先录取,额满为止。

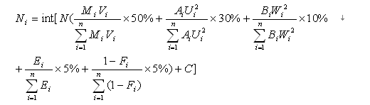
(四)定向生。名额90人,并将所有名额分配到各初中。名额分配的具体计算公式为:



说明:

Ni指第i初中当年分配名额数;

  N指全市分配名额总数;

  Vi指第i初中应届初中毕业生人数;

Mi指第i初中教育教学工作等级折合分;

Ui指第i初中毕业生学业考试成绩合格率;

Ai指第i初中毕业生学业考试成绩合格人数;

Bi指第i初中毕业生学业考试成绩优秀人数;

Wi指第i初中毕业生学业考试成绩的优秀率;

     Ei指第i初中上年升学率;

     Fi指第i初中毕业生中学业考试成绩为全市后20%的人数比例;

C 为修正值 0  C  1,使全市分配名额四舍五入后的总和为N

决定一所初中分配名额的计算方法分五方面:

第一、决定于该校应届初中毕业生人数、考核等级折合分,权重为50%

第二、决定于该校应届初中毕业生学业考试成绩合格人数和合格率,权重为30%

第三、决定于该校应届初中毕业生学业考试成绩优秀人数和优秀率,权重为10%

第四、决定于该校上一年应届初中毕业生升入高中段学校的人数比例,权重为5%

第五、决定于该校应届初中毕业生中学业考试成绩为全市后20%的人数比例,权重为5%

各区域录取控制线划定办法为:以90人为基准数,在全市报有余姚中学志愿并符合相关条件的学生中,按中考分数从高到低划出城区初中录取的最低控制线,进而确定农村平原初中、山区初中的录取控制线。农村平原初中、山区初中的录取控制线分别在城区初中录取控制线的基础上降10分、20分。

四、几点要求

(一)余姚中学招生工作是我市高中段招生工作的重要组成部分,关系着高中段招生考试与招生工作改革能否顺利推进。这项工作政策性、原则性强,涉及面广,关系到学生切身利益,备受社会各界关注。各初中学校务必高度重视,将有关政策及时、准确地传达到广大教师、学生、家长,积极主动地做好宣传和推荐工作。

(二)各校在保送生推荐时,要根据条件择优推荐,保证把优秀的毕业生推荐到余姚中学。要依照自下而上的工作程序,做到公开、公平、公正,增强工作的透明度。杜绝不正之风,对在推荐工作中弄虚作假、徇私舞弊的,一经查实,追究学校领导和有关人员的责任,取消有关学生的推荐资格,减少相关初中下次推荐名额。

(三)在余姚中学保送生推荐录取工作中,推荐名额一经确定,各初中学校不得以各种理由追加名额。坚决杜绝不符合提前招生推荐条件的人员以“测试生”的身份参加文化课测试。

 附件:2016年余姚市普高保送生推荐表

 

                                余姚市教育局

  2016328



  • 上一个文章:
  • 网站版权与免责声明
    ①由于各方面情况的不断调整与变化,本网所提供的相关信息请以权威部门公布的正式信息为准.
    ②本网转载的文/图等稿件出于非商业性目的,如转载稿涉及版权及个人隐私等问题,请在两周内邮件fjksw@163.com联系.


    | 关于我们 | 联系我们 | 版权申明 | 网站导航 |
    琼ICP备12003406号