首页
高考
美术高考
成人高考
考研
自考
中考
会考
专升本
高校
公务员
导游考试
更多
自主招生
|
保送生
|
艺术特长生
|
高水平运动员
|
空乘民航招飞
|
军校国防生
|
空军招飞
|
高考作文
|
大学排行榜
|
中考分数线
|
中考查分
3773考试网
-
考研
-
考研录取名单
- 正文
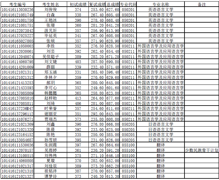
大连理工大学外国语学院2016年硕士研究生拟录取名单
来源:2exam.com
2016-4-14 21:50:29
您可能喜欢的文章
大连理工大学2016年MPA拟录取名单公示
大连理工大学人文与社会科学学部2016年硕士
大连理工大学软件学院2016年硕士研究生拟录
大连理工大学建筑与艺术学院2016年硕士研究
2016江苏南京天光所硕士研究生入学考试复试
大连理工大学体育教学部2016硕士生拟录取名
2016年大连理工大学盘锦校区拟录取结果
2016年天津工业大学计算机科学与软件学院考
2016天津工业大学机械工程学院考研拟录取考
天津工业大学环境与化学工程学院拟录取名单
上一个文章:
大连理工大学2016年MPA拟录取名单公示
网站版权与免责声明
①由于各方面情况的不断调整与变化,本网所提供的相关信息请以权威部门公布的正式信息为准.
②本网转载的文/图等稿件出于非商业性目的,如转载稿涉及版权及个人隐私等问题,请在两周内邮件fjksw@163.com联系.
最新文章
·
大连理工大学外国语学院2016年硕士研究
·
大连理工大学2016年MPA拟录取名单公示
·
大连理工大学人文与社会科学学部2016年
·
大连理工大学软件学院2016年硕士研究生
·
大连理工大学建筑与艺术学院2016年硕士
·
2016江苏南京天光所硕士研究生入学考试
·
大连理工大学体育教学部2016硕士生拟录
·
2016年大连理工大学盘锦校区拟录取结果
·
2016年天津工业大学计算机科学与软件学
·
2016天津工业大学机械工程学院考研拟录
·
天津工业大学环境与化学工程学院拟录取
·
2016年天津工业大学材料科学与工程学院
·
天津工业大学纺织学院2016年招生拟录取
·
天津工业大学电子与信息工程学院2016年
·
2016年天津工业大学马克思主义学院招生
推荐文章
·
厦门大学2012年研究生拟录取名单查询
|
关于我们
|
联系我们
|
版权申明
|
网站导航
|
琼ICP备12003406号