首页
高考
美术高考
成人高考
考研
自考
中考
会考
专升本
高校
公务员
导游考试
更多
自主招生
|
保送生
|
艺术特长生
|
高水平运动员
|
空乘民航招飞
|
军校国防生
|
空军招飞
|
高考作文
|
大学排行榜
|
中考分数线
|
中考查分
3773考试网
-
高考
-
高考模拟题
-
高考数学
- 正文
北京
上海
广东
山东
江苏
浙江
湖北
四川
天津
陕西
湖南
福建
重庆
安徽
辽宁
江西
海南
宁夏
吉林
山西
广西
云南
新疆
黑龙江
青海
甘肃
西藏
河北
贵州
河南
内蒙古
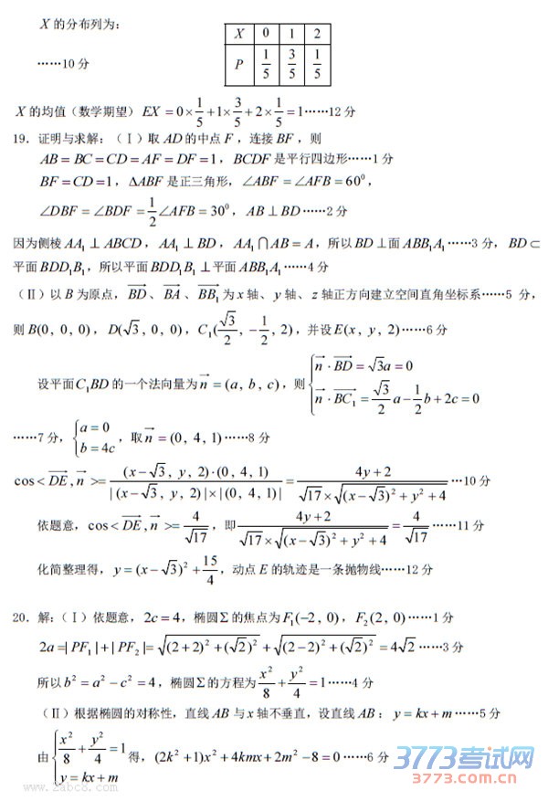
2016江门一模数学理科试题及答案免费版
来源:2exam.com
2016-4-13 20:36:53
上一页
1
2
3
4
5
下一页
您可能喜欢的文章
2016江门一模文综地理试题及答案免费
2016年起广东5所高校部分专业一本招生
2016广东高考深圳大学等5所高校录取批次安排
2016茂名高三二模英语试题及答案免费版
2016茂名高三二模数学文科试题及答案
2016茂名二模数学理科试题及答案免费
2016茂名二模文综答案
2016广东高考佛山考生人数44423人
2016茂名二模英语试题及答案免费版
2016茂名二模数学理科答案免费发布
上一个文章:
2016温州二模数学文科试题发布
网站版权与免责声明
①由于各方面情况的不断调整与变化,本网所提供的相关信息请以权威部门公布的正式信息为准.
②本网转载的文/图等稿件出于非商业性目的,如转载稿涉及版权及个人隐私等问题,请在两周内邮件fjksw@163.com联系.
最新文章
·
2016江门一模数学理科试题及答案免费版
·
2016温州二模数学文科试题发布
·
2016福建高三省质检数学理科试题及答案
·
2016山西二模数学理科试题答案免费版
·
2016山西二模数学文科答案免费版
·
2016新疆二模数学理科试题及答案免费版
·
2016年4月贵州高考适应性考试数学理科试
·
2016年4月贵州高考适应性考试文科数学试
·
2016贵州高考适应性考试理科数学试题及
·
2016茂名高三二模英语试题及答案免费版
·
2016茂名高三二模数学文科试题及答案
·
2016茂名二模数学理科试题及答案免费
·
2016年4月福建高三省质检数学理科试题及
·
2016福建高三省质检数学文科试题及答案
·
2016福建高三省质检数学文科试题及答案
推荐文章
·
2016温州二模数学文科试题发布
·
2016福建高三省质检数学理科试题及答案
·
2016山西二模数学理科试题答案免费版
·
2016山西二模数学文科答案免费版
·
2016新疆二模数学理科试题及答案免费版
·
2016贵州高考适应性考试理科数学试题及
·
2016年4月福建高三省质检数学理科试题及
·
2016福建高三省质检数学文科试题及答案
·
2016福建高三省质检数学文科试题及答案
·
2016贵州高考适应性考试文科数学试题及
·
2016资阳三模数学理科试题及答案
·
2016资阳三模数学文科试题及答案
·
2016石家庄一模数学理科试题及答案免费
·
2016东北三省三校二模数学文科试题及答
·
2016兰州二诊数学理科试题及答案免费
|
关于我们
|
联系我们
|
版权申明
|
网站导航
|
琼ICP备12003406号