首页
高考
美术高考
成人高考
考研
自考
中考
会考
专升本
高校
公务员
导游考试
更多
自主招生
|
保送生
|
艺术特长生
|
高水平运动员
|
空乘民航招飞
|
军校国防生
|
空军招飞
|
高考作文
|
大学排行榜
|
中考分数线
|
中考查分
3773考试网
-
高考
-
高考模拟题
-
高考数学
- 正文
北京
上海
广东
山东
江苏
浙江
湖北
四川
天津
陕西
湖南
福建
重庆
安徽
辽宁
江西
海南
宁夏
吉林
山西
广西
云南
新疆
黑龙江
青海
甘肃
西藏
河北
贵州
河南
内蒙古
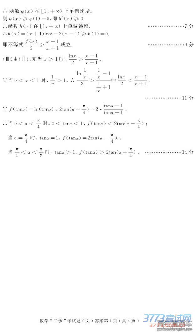
2016成都二诊文科数学试题及答案免费
来源:2exam.com
2016-3-29 18:06:33
上一页
1
2
3
4
您可能喜欢的文章
2016成都二诊数学理科试题及答案免费
2016成都二诊成绩查询系统
2016自贡二诊语文试题答案评分标准免费
2016自贡二诊文科数学答案评分标准免费
2016自贡二诊理科数学答案评分标准免费
2016自贡二诊文综答案评分标准免费
2016自贡二诊理综试题及答案评分标准免费
2016自贡二诊英语答案及评分标准
2016成都高三二诊语文试题答案评分标准
2016成都二诊数学理科试题及答案免费发布
上一个文章:
2016成都二诊数学理科试题及答案免费
网站版权与免责声明
①由于各方面情况的不断调整与变化,本网所提供的相关信息请以权威部门公布的正式信息为准.
②本网转载的文/图等稿件出于非商业性目的,如转载稿涉及版权及个人隐私等问题,请在两周内邮件fjksw@163.com联系.
最新文章
·
2016成都二诊文科数学试题及答案免费
·
2016成都二诊数学理科试题及答案免费
·
2016自贡二诊文科数学答案评分标准免费
·
2016自贡二诊理科数学答案评分标准免费
·
2016昆明高三质检理科数学试题答案
·
2016年3月昆明高三质检文科数学试题答案
·
2016南通二模数学试题及答案免费发布
·
2016成都二诊数学理科试题及答案免费发
·
2016成都二诊数学文科试题及答案免费发
·
2016年3月江西百所重点高中数学理科试题
·
2016年3月江西百所重点高中文科数学试题
·
2016揭阳高三一模数学文科试题及答案免
·
2016皖北协作区联考文科数学试题答案
·
2016皖北协作区联考理科数学答案
·
2016太原一模数学理科试题及答案
推荐文章
·
2016成都二诊文科数学试题及答案免费
·
2016成都二诊数学理科试题及答案免费
·
2016南通二模数学试题及答案免费发布
·
2016成都二诊数学文科试题及答案免费发
·
2016年3月江西百所重点高中文科数学试题
·
2016揭阳高三一模数学文科试题及答案免
·
2016太原一模数学文科答案及评分标准
·
2016揭阳一模数学理科答案及评分标准
·
2016揭阳一模数学文科答案及评分标准
·
2016合肥二模数学理科试题答案及评分标
·
2016合肥二模数学文科试题答案及评分标
·
2016南京盐城二模数学试题及答案发布
·
2016乌鲁木齐二模数学理科答案及评分标
·
2016乌鲁木齐二模文科数学答案及评分标
·
2016云南一模数学文科试题及答案
|
关于我们
|
联系我们
|
版权申明
|
网站导航
|
琼ICP备12003406号