首页
高考
美术高考
成人高考
考研
自考
中考
会考
专升本
高校
公务员
导游考试
更多
自主招生
|
保送生
|
艺术特长生
|
高水平运动员
|
空乘民航招飞
|
军校国防生
|
空军招飞
|
高考作文
|
大学排行榜
|
中考分数线
|
中考查分
3773考试网
-
考研
-
考研录取名单
- 正文
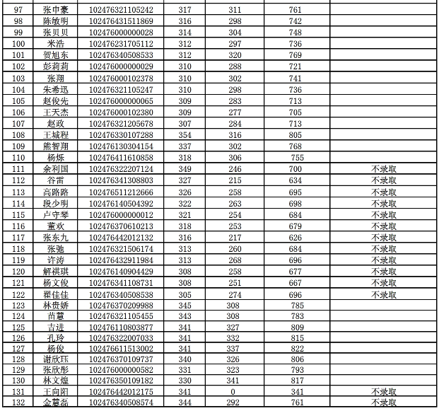
同济大学电子与信息工程学院2016考研拟录取名单
来源:2exam.com
2016-4-21 23:33:40
上一页
1
2
3
您可能喜欢的文章
2016年同济大学政治与国际际关系学院硕士研
2016年同济大学生命科学与技术学院硕士研究
同济大学法学院2016年统考硕士研究生复试结
四川省社会科学院2016年硕士研究生拟录取名
2016年复旦大学哲学学院硕士研究生入学考试
西南民族大学2016年硕士拟录取名单
北京有色金属研究所2016年硕士研究生拟录取
北京基因组研究所硕转博研究生2016秋季拟录
北京基因组研究所硕转博研究生2016秋季拟录
2016年华中科技大学数学与统计学院硕士拟录
上一个文章:
2016年同济大学政治与国际际关系学院硕士研究生复试结果
网站版权与免责声明
①由于各方面情况的不断调整与变化,本网所提供的相关信息请以权威部门公布的正式信息为准.
②本网转载的文/图等稿件出于非商业性目的,如转载稿涉及版权及个人隐私等问题,请在两周内邮件fjksw@163.com联系.
最新文章
·
2016年同济大学政治与国际际关系学院硕
·
同济大学电子与信息工程学院2016考研拟
·
2016年同济大学生命科学与技术学院硕士
·
同济大学法学院2016年统考硕士研究生复
·
四川省社会科学院2016年硕士研究生拟录
·
2016年复旦大学哲学学院硕士研究生入学
·
西南民族大学2016年硕士拟录取名单
·
北京有色金属研究所2016年硕士研究生拟
·
北京基因组研究所硕转博研究生2016秋季
·
北京基因组研究所硕转博研究生2016秋季
·
2016年华中科技大学数学与统计学院硕士
·
2016年华中科技大学物理学院硕士拟录取
·
2016年华中科技大学化学与化工学院硕士
·
2016年华中科技大学船舶与海洋工程学院
·
2016年华中科技大学能源与动力工程学院
推荐文章
·
厦门大学2012年研究生拟录取名单查询
|
关于我们
|
联系我们
|
版权申明
|
网站导航
|
琼ICP备12003406号